前言(可省略。):
哈夫曼编码可以很有效的压缩数据:通常可以节省 20%~90%的空间,具体压缩率依赖于数据的特性。我们将待压缩数据看做字符序列。根据每个字符的出现频率,哈夫曼贪心算法构造出字符的最优二进制表示。
假定我们希望压缩一个10个字符的数据文件。下表给出了文件中所出现的字符和它们的出现频率。也就是说,文件中只出现了6个不同字符,其中字符a出现了45 000次。
| | a |b |c |d |e |f |
|–|–|—-|–|—|—|—|
| 频率(千次) | 45 | 13| 12| 16| 9 | 5 |
|定长编码 | 000 |001 | 010|011 | 100 | 101 |
|变长编码 | 0 |101 |100 |111 | 1101 | 1100 |
- 一个字符编码的问题。一个100 000个字符的文件,只包含a~f 6个不同字符,出现的频率如上表。如果为每个字符指定一个3为的码字,我们可以将文件编码为300 000位的长度。但使用上表的变长编码,我们可以仅用224 000位编码文件。因此我们看到这是文件的最优字符编码。
因此我们知道了哈夫曼编码。
哈夫曼编码是可变字长编码的一种。
哈夫曼设计了一个贪心算法来构造最优前缀码,被称为哈夫曼编码(Huffman code)。哈夫曼树:哈夫曼树又称最优二叉树。它是 n 个带权叶子结点构成的所有二叉树中,带权路径长度 WPL 最小的二叉树。
接下来我们来了解哈夫曼算法的具体过程
Note:每次构造二叉树时已按字母频率递增顺序排好序
步骤:每次构造二叉树将频率低的两棵树进行合并
1.我们借用上面的例子得到初始字母叶节点:

2.f 和 e 合并:
3.c 和 b 合并:
4. 14 和 d 合并:
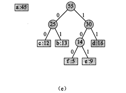
5. 25 和 30 合并:
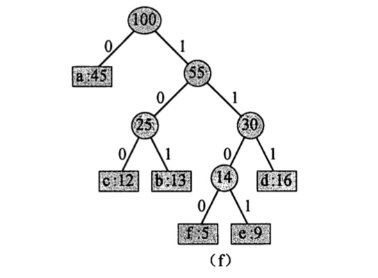
6. 45 和 55 合并,最终得到完整的赫夫曼树:
因此得到哈夫曼编码为:
a 的编码为: 0
b 的编码为: 101
c 的编码为: 100
d 的编码为: 111
e 的编码为: 1101
f 的编码为: 1100
代码实现哈夫曼编码
1.制备每个字符的概率表
1 | def findTheCharFrequency(text): |
存放字符的文本:
输出样例(以字典的形式给出每个字符的频率):
1 | {'t': 22, 'x': 3, 'h': 28, 'u': 16, 'f': 34, 'm': 20, 'a': 26, 'n': 24, 'c': 18, 'o': 24, 'd': 14, 'i': 20, 'g': 8, 's': 20, 'e': 32, 'p': 8, 'r': 18, 'y': 2, 'b': 2, 'l': 2, 'w': 2} |
2.创建节点类
1 | class Node(object): |
3.以节点反向建立Huffman树
1 | #创建Huffman树 |
用递归地思想生成编码
1 | def Hu_generate(self, tree, length): |
输出哈夫曼编码
1 | def get_code(self): |
输出
1 | if __name__=='__main__': |
输出样例:
1 | e 的Huffman编码为: 000 |
完整代码:
1 | #制备每个字符的概率表 |
本篇完